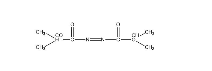
Diisopropyl Azodicarboxylate (DIAD) CASNO:2446-83-5

Physical properties:

Appearance: Orange liquid

Molecular Formula: C8H14N2O4=202.21 

Density: 1.027 g/mL at 25°C

Boiling Point: 75°C at 0.25 mmHg

Melting Point: 3 to 5°C

Refractive Index: n20/D 1.420

Flash Point: 106°C

Storage Temperature: 2 to 8°C

Synonyms:

  • DIAD
  • Diisopropyl azodiformate
  • Azodicarboxylic acid diisopropyl ester
  • Diisopropyl diazodicarboxylate
  • 1,2-Diazenedicarboxylic acid, 1,2-bis(1-methylethyl) ester
  • Bis(1-methylethyl) (E)-diazene-1,2-dicarboxylate
  • Dipropan-2-yl diazene-1,2-dicarboxylate
  • Azobis(formic acid isopropyl) ester

 

 

 

 

 

 

Uses:

Mitsunobu Reactions: Acts as an azodicarboxylic acid derivative, usually in combination with triphenylphosphine, to facilitate conversions in organic synthesis.

Pharmaceutical Intermediate Production: Used in the creation of various compounds, including potential HIV drugs, anticancer agents, and inhibitors for hepatitis C virus.

Chemical Synthesis: Serves as a reactant in the preparation of chromenes (resembling cannabinoids), norbornene-based polymers, and organic dyes.

Functional Group Manipulation: Acts as a selective deprotecting agent for -benzyl groups.

Radical Trapping: Used in metal-free oxyaminations of alkenes.

Key Applications:

  1. The Mitsunobu Reaction

DIAD is a crucial component in the Mitsunobu reaction, where it is used alongside triphenylphosphine to convert alcohols into various functional groups (ethers, esters, amines, azides) with high efficiency.

  1. Pharmaceutical Synthesis and Drug Development
  • Active Pharmaceutical Ingredient (API) Intermediate: DIAD is used in the production of various, complex pharmaceutical compounds.
  • Specific Drug Candidates: It is used as a reactant in the preparation of:
    • MK-3281: A hepatitis C virus NS5B polymerase inhibitor.
    • Procarbazine: A chemotherapy medication.
    • Zidovudine (AZT): An HIV/AIDS medication.
    • Analogs of Quorum-Sensing Molecules: Used in studying immunosuppressive properties.
  • Autoimmune & Eye Disorder Research: It is used in the development of treatments for these conditions.
  1. Material Science and Specialized Chemistry
  • Polymer Chemistry: Used to create norbornene-based, guanidine-rich polymers that mimic cell-penetrating peptides (CPPs).
  • Organic Dyes: Used in the synthesis of donor-acceptor-donor organic dyes for dye-sensitized solar cells.
  • Chemical Synthesis: Acts as a mild, selective oxidizer, particularly useful for removing

n-benzyl protecting groups.

What is Disopropyl Azodicarboxylate (DIAD)?
DIAD is a chemical reagent widely used in organic synthesis, particularly in Mitsunobu reactions for converting alcohols into other functional groups.
What are the uses of DIAD (CAS 2446-83-5)?
It is commonly used in pharmaceutical synthesis, chemical research, and the preparation of esters, ethers, and other compounds.
How is DIAD used in the Mitsunobu reaction?
DIAD acts as an oxidizing agent in the Mitsunobu reaction, enabling the transformation of alcohols with inversion of stereochemistry.
Is DIAD safe to handle?
DIAD should be handled with caution as it may be hazardous. Always follow proper safety guidelines and refer to the MSDS before use.
What purity levels are available for DIAD?
DIAD is typically available in high purity, usually ranging from 95% to 99%, depending on supplier standards.

FAQs

What is Disopropyl Azodicarboxylate (DIAD)?
DIAD is a chemical reagent widely used in organic synthesis, particularly in Mitsunobu reactions for converting alcohols into other functional groups.
What are the uses of DIAD (CAS 2446-83-5)?
It is commonly used in pharmaceutical synthesis, chemical research, and the preparation of esters, ethers, and other compounds.
How is DIAD used in the Mitsunobu reaction?
DIAD acts as an oxidizing agent in the Mitsunobu reaction, enabling the transformation of alcohols with inversion of stereochemistry.
Is DIAD safe to handle?
DIAD should be handled with caution as it may be hazardous. Always follow proper safety guidelines and refer to the MSDS before use.
What purity levels are available for DIAD?
DIAD is typically available in high purity, usually ranging from 95% to 99%, depending on supplier standards.