Physical Properties:
Appearance : Color less to slight yellow liquid
Purity : >90.00% (GC)
Melting Point : NA
Boiling Point : 85°C to 88°C
Storage Temperature : 2-8°C inert atmosphere,
Conditions to avoid : Moisture sensitive
LOD : NA
Solubility : Chloroform, Methanol
Density : 1.271 g/cm3
Moisture content : 0.50 %
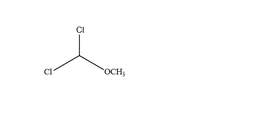
Dichloro Methyl Methyl Ether (CAS 4885-02-3), Dichloromethyl methyl ether (C₂H₄Cl₂O) is a volatile, colorless liquid with a pungent odor, used in organic synthesis as a chloromethylating and formylating agent to create pharmaceuticals, agrochemicals, and modified polymers
Key Uses:
- Organic Synthesis: Acts as a powerful reagent for introducing formyl (–CHO) groups onto aromatic rings (Rieche formylation) and for converting carboxylic acids into acid chlorides.
- Pharmaceuticals: Serves as an intermediate in creating various drug compounds and is used in studies for potential drug development, like nitric oxide synthase inhibitors.
- Agrochemicals: Used in the synthesis of certain agricultural chemicals.
- Polymer Industry: Contributes to the production of specialty polymers, coatings, and adhesives.
- Research: Utilized in developing fluorescent sensors for nerve agents and in environmental studies.
Key Applications:
- Pharmaceuticals & Agrochemicals:Serves as a crucial intermediate for synthesizing various active compounds.
- Organic Synthesis:Used for introducing formyl (CHO) groups and preparing acid chlorides.
- Polymer Production:Contributes to making specialty polymers, resins, and water repellents.
- Chemical Research: Utilized in creating fluorescent sensors for nerve agent mimics and studying chemical reactions.





